出土文献与古文字研究学术论坛

 找回密码
 立即注册
搜索
查看: 16108|回复: 0

又一封最牛毕业证书以及梁启超、王国维二位的手札

[复制链接]
发表于 2011-11-25 05:46 | 显示全部楼层 |阅读模式
前一阵盛传的史上最牛毕业证书
 
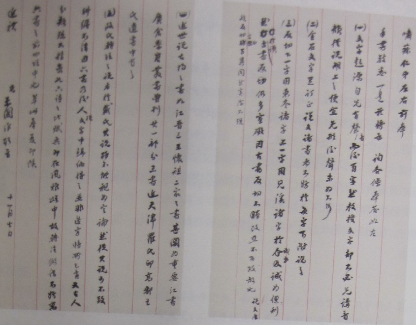
《中国国家博物馆馆刊》2011·10《梁启超、王国维对弟子王啸苏的论学复函》刊出又一封最牛毕业证书以及梁启超、王国维二位的手札。
 
据该文,第一届学生中湖南有五名学生。其中两位的毕业证书竞都保存下来了。
 
 
 
 
不过,该文为王国维函中“江晋三”出了个注比较离谱,说“又名江永……”。
还有王国维函中:“说文、广韵、反切字面,虽有异同,然实际不殊。”是不是该断作:说文、广韵反切,字面虽有异同,然实际不殊。
 
 

[此主题已被 天生牙 在 2011-11-24 21:52:22 编辑过]

您需要登录后才可以回帖 登录 | 立即注册

本版积分规则

小黑屋|手机版|Archiver|复旦大学出土文献与古文字研究中心网站

GMT+8, 2026-4-3 05:59 , Processed in 1.047765 second(s), 16 queries .

Powered by Discuz! X3.4

Copyright © 2001-2021, Tencent Cloud.

快速回复 返回顶部 返回列表